Reka Bentuk Dan Teknologi Tingkatan 3 Bab 2 Lakaran
21 Teknologi Yang Dipilih 22 Tujuan penggunaan teknologi 23 Fungsi Teknologi 24 Kekuatan Dan Kelemahan Teknologi 30 Perancangan Konsep. Modul ini adalah Modul Pembelajaran Mata pelajaran Reka Bentuk dan Teknologi RBT bagi murid tingkatan satu.
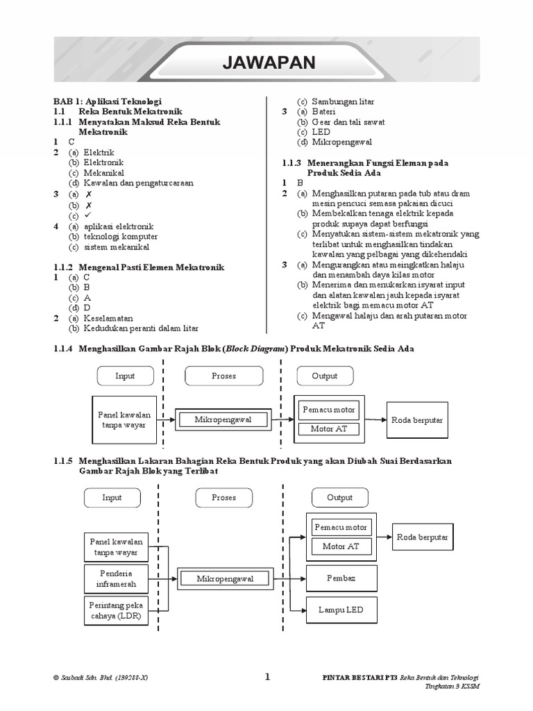
Jawapan Modul Aktiviti Pintar Bestari Reka Bentuk Dan Teknologi Tingkatan 3 Pdf
TINGKATAN 1 By.
. RBT menggantikan mata pelajaran Kemahiran Hidup Bersepadu yang telah dilaksanakan sejak. Jenis Lakaran Pandangan Bongkah Add to my workbooks 2 Embed in my website or blog Add to Google Classroom. Reka Bentuk dan Teknologi RBT Gradelevel.
A Kesatuan b Kepelbagaian c Harmoni d Pengulangan 10 Maklumat yang perlu dinyatakan pada lakaran 3D ialah _____ saiz produk dan komponen _____ komponen atau bahagian-bahagian produk _____ dan elemen reka bentuk yang digunakan a jenama produk harga produk kualiti produk b fungsi produk kualiti komponen yang digunakan kos produk c. A few seconds ago. Elemen reka bentuk terdiri daripada.
Latihan Add to my workbooks 3 Download file pdf Embed in my website or blog Add to Google Classroom. Rasyiqah Binti Rizuan 3AZ SMKA AL-IRSHADAssalamualaikum dan Salam Sejahtera semuanyaSubjek. Lorem ipsum dolor sit amet Lesson 4.
Modul ini memuatkan semua topik di dalam bab 52 Reka Bentuk FesyenDalam modul ini juga terkandung nota-nota soalan-soalan pentaksiran bilik darjah latihan-latihan pengukuhan kuiz peta i-Think dan terdapat pelbagai aktiviti yang sangat menarik. Apakah 3 maklumat lain yang perlu ada pada lakaran 3D selain maklumat pada gambar di atas. CIKGU SITI NORLIZAWATI.
525 Menganalisis elemen dalam reka. TEACH A COURSE 2 BAB 2. Semua bab untuk Reka Bentuk dan Teknologi Tingkatan 1.
Melalui lukisan rupa bentuk projek dimensi bahan teknologi pembuatan dan peralatan yang akan digunakan dapat dikenal pasti. Pengenalan kepada Reka Bentuk dan Teknologi. Peramal fesyen Ramalan trend yang bakal.
Bab 4 Lakaran Other contents. Start studying Reka Bentuk dan Teknologi Tingkatan 2 - Bab 2. BAB 1 APLIKASI TEKNOLOGI 11 Reka Bentuk Mekatronik 2 BAB 2 PEMBANGUNAN PRODUK 21 Penghasilan Produk 38 111 Menyatakan maksud reka bentuk mekatronik 3 112 Mengenal pasti elemen mekatronik 7 113 Menerangkan fungsi elemen mekatronik pada produk sedia ada 11 114 Menghasilkan gambar rajah blok block diagram.
Jenis-jenis lakaran - Latihan PdPR RBT Tingkatan 3 Bab 1 - Latihan PdPR Komponen Mekatronik RBT T3 - SEJARAH TINGKATAN 1 BENUA DI DUNIA. REKA BENTUK FESYEN ASPEK PERKARA HURAIAN Definisi Fesyen Gaya atau stail serta tingkah laku yang diterima dan menjadi popular pada satu-satu masa. RYAN ALFRED JEEHEN HOWDEN Tingkatan.
411 - Peranan Lakaran Dalam Reka Bentuk. Tingkatan 2 Reka Bentuk dan Teknologi Buku Tekspdf - Google Drive. REKABENTUK DAN PENGHASILAN PROJEK.
Pengetahuan kemahiran teknik 3 komponen utama Skop Kerja Tempoh Masa Kos projek SKOP KERJA Bidang Kerja Terbahagi dua aspek. Sed ut perspiciatis unde. Aplikasi Teknologi 23 Reka Bentuk Elektrik 234 Menghasilkan lakaran reka bentuk litar yang akan dibuat 235 Menganalisis elemen sistem elektrik dan gajet yang dihasilkan Lesson 3.
KERJA KURSUS REKABENTUK DAN TEKNOLOGI RBT TINGKATAN 3 2020 TAJUK LAMPU HIASAN LED NAMA. Aplikasi Teknologi Teknologi Pembuatan. Konsumen ini membeli atau menggunakan barang atau jasa untuk memenuhi kebutuhan dan menjalankan organisasi.
521 Mentakrif reka bentuk fesyen 522 Menyenaraikan jenis reka bentuk fesyen. 524 Menghasilkan dua lakaran reka bentuk fesyen. Kebaikkan kelemahan dan pengeluar produk sebelum membuat keputusan membeli.
Pernyataan di atas berkaitan dengan suatu prinsip reka bentuk iaitu. Reka Bentuk dan Teknologi RBT Gradelevel. PENGENALAN KEPADA REKA BENTUK DAN TEKNOLOGI Membuka kotak.
Menyapu tona kayu pada perumah menggunakan berus. MS68 Lakaran merupakan CONTENGAN BERBENTUK GARISANGAMBARdan. Reka Bentuk Dan Teknologi Tingkatan 2 Flip Ebook Pages 1 10 Anyflip Check more flip ebooks related to GEOGRAFI TINGKATAN 2 of KAMSHA UMI BINTI KAMLUN Moe.
ADAKAH ANDA TAHU APA DEFINISI LAKARAN. Info Bestari BAB 2. 412 LAKARAN PIKTORIAL Memaparkan imej 3D yang memudahkan pereka menggambarkan bentuk atau mentafsir lukisan.
RBT Tingkatan 3 Bab 2 DRAFT. Reka Bentuk MekatronikTingkatan 3REKA BENTUK TEKNOLOGIDisediakan oleh. KUIZ RBT Tingkatan 3 bab 2 DRAFT.
3 2 1 Membuat lakaran. _____ NAMA GURU. Lakaran piktorial boleh dihasilkan dengan mengaplikasikan teknik lakaran oblik lakaran isometik dan lakaran perspektif.
BAB 1 APLIKASI TEKNOLOGI 2 11 Reka Bentuk Mekatronik 111 Menyatakan maksud reka bentuk mekatronik 3 112 Mengenal pasti elemen mekatronik 7 113 Menerangkan fungsi elemen mekatronik pada produk sedia ada 11 114 Menghasilkan gambar rajah blok block diagram produk mekatronik sedia ada 18 115 Menghasilkan lakaran bahagian reka bentuk. PENGURUSAN PROJEK PENGURUSAN PROJEK REKA BENTUK Kaedah mengurus sumber seperti. Reka Bentuk dan Teknologi Tingkatan 3.
REKA BENTUK TEKNOLOGI TINGKATAN 1 BAB 4. Reka Bentuk Teknologi Tingkatan 3 Bab 1. Learn vocabulary terms and more with flashcards games and other study tools.
Reka Bentuk MekatronikDalam video ini kita akan tumpukan perhatian kepada subtopik 111 dan 112 111. 11 Konsep Alam Melayu 12 Kewujudan Kerajaan di Alam Melayu Kuiz. 52 Reka bentuk fesyen Murid boleh.
523 Mengenal pasti teknik cantuman dan penggunaan alatan dalam proses penyediaan reka bentuk fesyen. Mimi Norashikin Md Jaini BAB 52. Pada perumah kering sepenuhnya.
Bab 1 Pengenalan kepada Reka Bentuk dan Teknologi Bab 2 Pengurusan Projek Bab 3 Proses Reka Bentuk Bab 4 Lakaran Bab 51 Reka Bentuk Sistem Fertigasi Bab 52 Reka Bentuk Fesyen Nota Ringkas dan Padat RBT Reka Bentuk dan Teknologi Tingkatan 1. Reka Bentuk Fesyen Proses mengaplikasikan idea pada reka bentuk atau rekaan pakaian atau aksesori. KSSM REKA BENTUK DAN TEKNOLOGI TINGKATAN 3 51 PENDAHULUAN Kurikulum Standard Sekolah Menengah KSSM Reka Bentuk dan Teknologi RBT ialah satu mata pelajaran baharu yang diperkenalkan kepada murid bermula dari Tingkatan 1 hingga Tingkatan 3.
Pernyataan di atas. Skop produk kualiti ciri-ciri dan fungsi reka bentuk Skop Projek kerja dilaksanakan memenuhi tugasan. Tingkatan 1 Bab 4 Lakaran ms 68 74 Tajuk.
Lukisan projek memberikan maklumat lengkap sesuatu projek. PROSES REKABENTUK 24 PROSES REKA BENTUK. Membiarkan tona kayu yang telah disapu Berus yang telah.
STANDARD KANDUNGAN STANDARD PEMBELAJARAN. 223 Menghasilkan lakaran 3D reka bentuk gajet yang menggunakan.
Reka Bentuk Dan Teknologi Tingkatan 3 Bab 2 Pembangunan Produk Youtube
From 3 Rbt Bab 2 1 3 Elemem Reka Bentuk Youtube
Nota Rbt Ting 3 Flip Ebook Pages 1 3 Anyflip
Rbt T2 2 3 1 Elemen Sistem Elektrik Worksheet
Rbt T3 2 1 2 Mengenal Pasti Asas Teknologi Yang Sesuai Worksheet
Rbt Bab 2 Tingkatan 3 Worksheet
Ejercicio Interactivo De 2 4 3 Menghasilkan Lakaran Reka Bentuk Litar Elektronik
Koleksi Soalan Peperiksaan Percubaan Ramalan Latihan Nota Upsr Pt3 Spm Topikal Mindmap Kssr Kssm Tahun 1 Tahun 2 Tahun 3 Tahun 4 Tahun 5 Tahun 6 Tingkatan 1 Tingkatan 2 Tingkatan 3 Tingkatan 4 Tingkatan 5
Latihan Bab 2 Lakaran 3d Bermaklumat Worksheet
Buku Teks Rbt Tingkatan 3 Flip Ebook Pages 51 100 Anyflip
Tingkatan 3 Bab 2 Pembangunan Produk Pdf
Bab 2 1 3 Merancang Konsep Elemen Dan Prinsip Reka Bentuk Rbt Tingkatan 3 Part 2 Youtube
Rbt Tingkatan 3 Bab 2 Worksheet
Conquer Reka Bentuk Teknologi Tingkatan 3 Flip Ebook Pages 1 50 Anyflip
Ejercicio De Rbt T3 Bab 2 Pembangunan Produk 2 1 2 2 1 3
Tingkatan 2 Bab 3 2 2 3 Menghasilkan Lakaran 3d Reka Bentuk Gajet Worksheet


Komentar
Posting Komentar